Ta46 Fxngbv Ae

Amazon Best Sellers Best Camembert Cheese
Http Citeseerx Ist Psu Edu Viewdoc Download Doi 10 1 1 327 9436 Rep Rep1 Type Pdf

Kleenex Ultrasoft Bulk Toilet Paper Toilet Paper 4 Pks Of 12 Walmart Com Walmart Com

Report For Jan Nov 06 Pdf Sourp Hagop

Ascii Chr Code Chart For Qtp Uft And Selenium
Www Embopress Org Doi Pdf 10 Emmm

1 Designing Safer Roads Practices For Resurfacing Restoration And Rehabilitation Designing Safer Roads Practices For Resurfacing Restoration And Rehabilitation Special Report 214 The National Academies Press
Q Tbn 3aand9gcsafngfdryesmqigvi6btrubhibd8vn91wpxebauyvkjppxvnvf Usqp Cau
Onlinelibrary Wiley Com Doi Pdf 10 1002 Asia
Onlinelibrary Wiley Com Doi Pdf 10 1002 Asia
Showing Special Character A Instead Of Apostrophe Character Issue 622 Microsoft Botframework Webchat Github

Short Text Language Detection With Infinity Gram
Pubs Rsc Org En Content Articlepdf Cp D0cpj
Http Www Sleepscience Org Br Export Pdf 365 V9n3a01 Pdf
Journals Sagepub Com Pb Assets Cmscontent Lan Lan 52 3 Pdf

3 Pack Betty Crocker Hello Kitty Strawberry Surprise Cookie Mix Walmart Com Walmart Com

3 Pack Sam S Choice Italia Basil Pesto 190g Walmart Com Walmart Com

European Medicines Agency
National Report Of The Kingdom Of Bahrain Education For All Mid Decade Assessment 01 06 Unesco Digital Library

Pedigree Dentastix Large Dental Dog Treats Original 2 08 Lb Value Pack 40 Treats Walmart Com Walmart Com
Windows 1252 Wikipedia
Www Getty Edu Publications Ambers Downloads Causey Ancientambers Pdf

Python Get The Ascii Value Of A Character W3resource

Floristic Composition And Species Diversity Of Plant Resources Of Rural Area A A Aœtakht Bhaia A A District Mardan Khyber Pakhtunkhwa Pakistan

Sage Books Do The Math On Growth Greed And Strategic Thinking

Covid 19 Peak Dates For Every State 24 7 Wall St

ª I C N E B A ª C µ N Az E B0ꗗ Youtube

Ta 4j High Resolution Stock Photography And Images Alamy

Uds0fgehftccdm
Clincancerres crjournals Org Content Clincanres 23 14 3638 Full Text Pdf
Azslide Com Alphabets Letters And Diacritics In European Languages As They Appear In Geograp 5add56b0f9f356 Html
Pubs Rsc Org En Content Articlepdf Se C9se007a
Halshs Archives Ouvertes Fr Halshs Document

Code 128 Wikipedia

Reach Certificate Of Compliance A A A Xsol Series Xmultiple

Mayyjfhuwzmizm

Pdf Residual Stress Gradients In Electroplated Nickel Thin Films

3 Pack Smucker S Natural Orange Marmalade Fruit Spread 12 75 Ounce Jar Walmart Com Walmart Com

Metal Tablecloth Weights Winfashions Heavy Duty Butterfly Table Clip Clamps For Outdoor Garden Party Picnic Tables 4 Pack Walmart Com Walmart Com

Pleospora High Resolution Stock Photography And Images Alamy

Qwerty Wikipedia
Onlinelibrary Wiley Com Doi Pdf 10 1002 Asia

Oneclass Chm 10 1169 A15 Fal118 Home Animation Separation Of Alpha Beta And Gamma Rays

Stander Walker Handle Grips Walmart Com Walmart Com

5 Pack Uncle Ben S Ready Rice Butter Garlic 8 8oz Walmart Com Walmart Com

Implementations Of Two Photon Four Qubit Toffoli And Fredkin Gates Assisted By Nitrogen Vacancy Centers Scientific Reports
Onlinelibrary Wiley Com Doi Pdf 10 1002 Adsc

2 Pack Assurance Incontinence Underwear For Women Maximum Xl 32 Ct Walmart Com Walmart Com

7 Biometrics Stocks That Will Help Shape The Next Decade Nasdaq

3 Pack Ricos Gourmet Nacho Cheddar Cheese Sauce 15 0 Oz Walmart Com Walmart Com

08 Directory Volume A A A Interactive Wisconsin Conference United
Onlinelibrary Wiley Com Doi Pdf 10 1002 Asia

Krups 132 46 Sandwich Express Sandwich Maker Walmart Com Walmart Com

5 Pack Campbell S Ready Meals Homestyle Noodles Beef 9 Oz Walmart Com Walmart Com

Dsydky O Zs77m
Http Www Phreeplot Org Phreeplot Pdf

4 Pack V8 Splash Smoothies Strawberry Banana 46 Oz Walmart Com Walmart Com

7 International Stocks Worth A Visit Nasdaq

Kids Walkie Talkies Uokoo Two Way Radios 22 Channels And Back Lit Lcd Screen Up To 6km In Open Areas Walkie Talkies For Kids 1 Pair Camo T668 Walmart Com Walmart Com

Shout Carpet Oxy Fresh Scent Urine Destroyer 32 Fl Oz Walmart Com Walmart Com
Onlinelibrary Wiley Com Doi Pdf 10 1002 Ajoc

Oca Ocr Displaybank
Http Www Graco Com Bin Findmanual Manual

Subglottic Hemangioma
Www Gastrojournal Org Article S0016 5085 19 6 Pdf

List Of Unicode Characters Wikipedia

Platform Kids Beds Up To 55 Off This Labor Day Wayfair

University Of California Santa Cruz

3 Pack Kernel Season S Movie Theater Butter 13 75 Fl Oz Walmart Com Walmart Com
Trump Presser We Saved Millions Of Lives By Killing 105 000

Amazon Com General Armor Electric Heated Vest With Usb Charging For Men Or Women Washable White Clothing

Infographic Thanksgiving Food Fun And Facts Toy Anxiety Blog

Train To Hire Geodis Invests In Basic Training For Its Future Hazardous Materials Drivers Geodis

Refurbished Tcl 49 Class 4k Ultra Hd 2160p Roku Smart Led Tv 49s405 Walmart Com Walmart Com

Drink Simple Grapefruit Maple Water A A A Organic Non Gmo Gluten Free Vegan Natural Hydration A A A Low Sugar Coconut Water Alternative A A A 12 Fluid Ounce Pack Of 12 Walmart Com Walmart Com

Pa A A A Lpa A A Pa A

From California To New York See The Massive Juneteenth Protests For Black Lives Matter

3 Pack Smucker S Sugar Free Seedless Strawberry Jam 12 75 Oz Walmart Com Walmart Com

Matilde Da Colo A Mana Aos Pares
Www Cell Com Molecular Therapy Family Molecular Therapy Pdf S1525 0016 19 3 Pdf

4 Pack Ocean Spray Sparkling Juice Can Cran Mango 8 4 Fl Oz 6 Count Walmart Com Walmart Com
Projecteuclid Org Download Pdf 1 Euclid Bams

Universite De Geneve Groupe Du Professeur Andreas Hauser

2 Pack Tostitos Zesty Bean Cheese Dip 15 75 Ounce Glass Jar Walmart Com Walmart Com
Pubs Rsc Org En Content Articlepdf Sm D0smd
Pubs Rsc Org En Content Articlepdf Ta D0taa

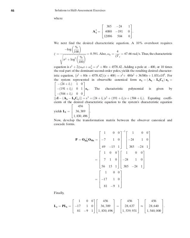
Solution Of Skill Assessment Control Systems Engineering By Norman S

Appendix C Review Of The Literature Evaluating Mechanical Properties Of Earth Material During Intelligent Compaction The National Academies Press

Tha Ai Ayn Nirwaana Shatkam ªae Aœ ªai A A A A C Aœ Aza C A Auaœai Srimat Sankara Bhagavat Paada S Analysis Ppt Download

Phonetic Correlates And Prominence Distinctions Part I The Study Of Word Stress And Accent

A Showing On Page Instead Of Stack Overflow
Www Limnology Journal Org Articles Limn Pdf 17 01 Limn Pdf

Fish Richardson
Trump Trails In Six Battleground States Yet Claims He Ll Sweep All Of Them Like In 16

Symbols Cad Design Free Cad Blocks Drawings Details
Onlinelibrary Wiley Com Doi Pdf 10 1002 Cplu
Scotus Rules On Two Trump Related Cases Vance And Mazars Both 7 2 Against Trump
Www Lodi Gov Documentcenter View 225 General Services Memorandum Of Understanding 18 To 19 Pdf

Ihs Markit Leading Source Of Critical Information

Freshly Prepared Food Organic Coffee Pret A Manger

Stander Walker Ski Glide Sock Cover Set Of 2 Walmart Com Walmart Com